Hands-on Purdue Science (HOPS) Lab Experiences

Looking for an on-campus lab experience for your high school science class? You have arrived at the right place! 

Purdue University College of Science K-12 Outreach is excited to offer a program that allows teachers to bring classes to the Purdue University West Lafayette campus for labs led by K-12 Outreach Coordinators, along with faculty and graduate students.  

Hands-on Purdue Science

The Hands-on Purdue Science (HOPS) lab program is for high school classes. These labs provide students with hands-on science labs in the K-12 Outreach Lab in the Brown building on the West Lafayette Campus. 

COST:

The Hands-on Purdue Lab sessions are FREE to any participating high school that registers to attend. Space is limited. Teachers can register their classes on a first-come, first-served basis.

Typical Schedule:

  • 8:30 am Arrive on campus.
  • 9:00 am to 12:30 pm Teachers and students will complete the scheduled lab.
  • 12:30 pm Lunch (on your own) and depart campus.

SCHEDULE and TOPICS*

We are currently scheduling for the Spring 2026 semester. 

Teachers: Register your high school class today by clicking here

Spring 2026

Kinetics: What is the Rate Law of the Fading of Crystal Violet Using Beer's Law?

  • Content Area: Chemistry
  • Use a spectrophotometer to measure Absorbance values of a reaction over time and experimentally determine the rate law of the reaction.  
  • Available dates for this lab include:
    • Thursday, April 2 (session is full)
    • Tuesday, April 7 (session is full)
    • Wednesday, April 8 (session is full)
    • Thursday, April 9 (session is full)

Cycle of Copper Reactions 

  • Content Area: Chemistry
  • In this multi-step copper transformation lab, students will get real-world practice with stoichiometry, error analysis, and key reaction types (Redox, Precipitation, Acid-Base, Decomposition). This single, comprehensive experiment reinforces the Law of Conservation of Mass and develops the meticulous lab techniques necessary for success on the AP exam.
  • Available dates for this lab include:
    • Thursday, April 16

Using Nuclear Chemistry to Investigate Radiocarbon Dating

  • Content Area: Chemistry and Environmental Science
  • Students will use nuclear scalers to determine the half-life of a radioactive isotope and visualize radiation using cloud chambers. Students will learn some calculations related to radioactive decay and use those calculations to determine whether artifacts we have in our lab are authentic or fake.  
  • Available dates for this lab include:
    • Tuesday, April 21 (session is full)
    • Wednesday, April 22
    • Thursday, April 23
    • Tuesday, April 28
    • Wednesday, April 29
    • Thursday, April 30 (session is full)

Introduction to Air Pollution

  • Content Area: Chemistry and Environmental Science
  • Students will participate in hands-on data collection and learn about the primary influencers that determine air quality.
  • Available dates for this lab include:
    • Tuesday, May 5 (session is full)
    • Thursday, May 7
    • Tuesday, May 12
    • Wednesday, May 13
    • Thursday, May 14

 

Additional information: 

  • There is some flexibility with the schedule.  
  • Our K-12 Outreach lab has a max capacity of 36 students.
  • If you will be bringing any chaperones that are not teachers at your school, Purdue highly encourages your school to complete background checks on these volunteers prior to coming to campus.
  • A class roster of FIRST and LAST names of each student that will be participating during your campus visit should be emailed to your Hands-on Purdue Lab instructor no later than 12:00pm ET, one week prior to your scheduled visit.

Linked below are release waivers that need to be signed by both the student participants and parents/guardians prior to arriving at Purdue's campus. There are three separate pages and all of them will need to be completed, printed, brought to campus on the day of your visit, and submitted to your Hands-on Purdue Lab instructor. Any student that does not have the three forms completed will not be able to participate in the lab activities.

  • Page 1: K-12 Outreach Lab Waiver - Students should sign and date this paper, and complete the Additional Information section at the bottom.
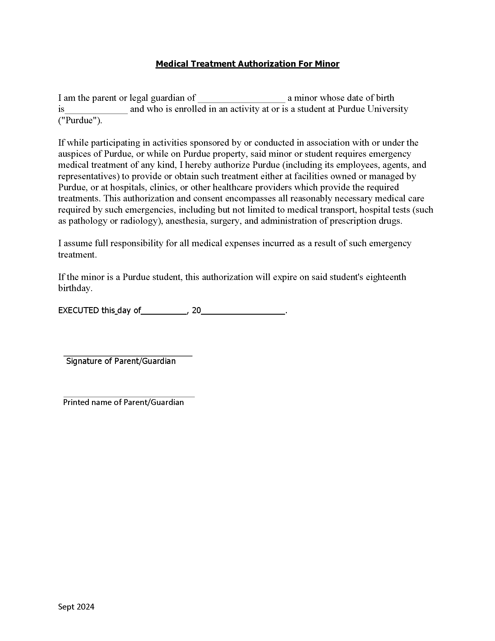
  • Page 2: Medical Treatment Authorization for Minor - The student's name and date of birth need to be filled in at the top of this form. At the bottom, the date needs filled in and the parent will sign and print their name.
  • Page 3: Waiver, Release and Hold Harmless Agreement - The date of your campus visit needs to be written at the top of this document. Both the student and their parent/guardian will date the form and sign and print their names at the bottom of this page.

 NOTE: if you need a PDF for printing, you can find them in the Forms Google folder

*Some of the labs we offer include: 


Hands-on Purdue Science Lab Topics
Lab
Suggested Classes 
Virtual Lab (if available)
The Preparation and Testing of an Effective Buffer
Chemistry
Understanding, Making, and Using Buffers
Atmospheric Chemistry: Introduction to Air Pollution
Chemistry, Environmental
Introduction to Air Pollution
Molecular Modeling
Chemistry
Lewis Structures
Kinetics: Determine Rate Law of Crystal Violet
Chemistry
Spectrophotometry: Determine the Mass Percent of Copper in Brass
Chemistry
IR and Proteins
Chemistry
Electrochemistry
Chemistry
Using Nuclear Chemistry to Investigate Radiocarbon Dating
Chemistry, Environmental, Earth
Using Nuclear Chemistry to Investigate Radiocarbon Dating
Soils Environmental, Earth
Groundwater Contamination Environmental, Earth

 

All labs are subject to personnel availability.