Carotenoid levels in breast milk vary by country, diet
June 10, 2015
![]() |
|
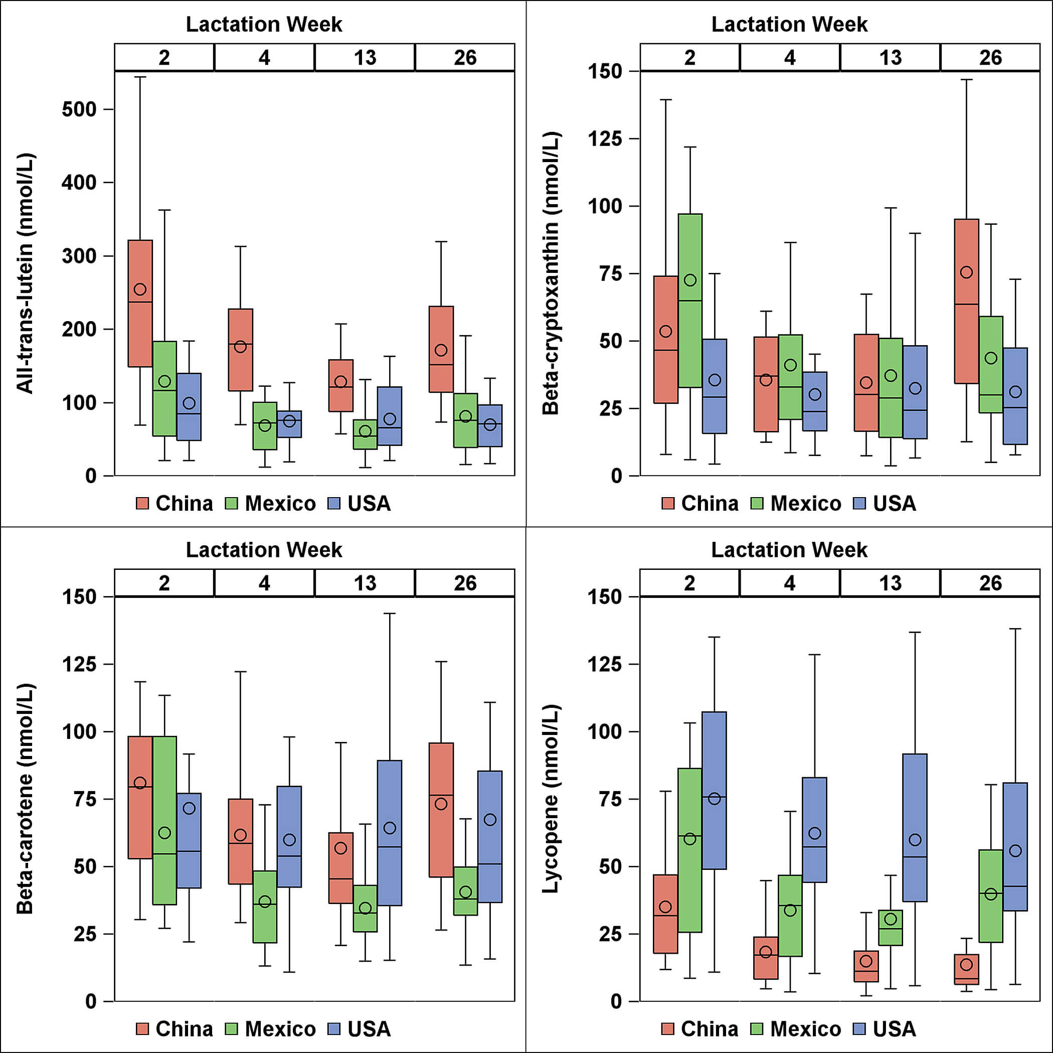
This figure shows the wide variation in levels of several kinds of carotenoids by country and lactation stage. (PLOS/Mario Ferruzzi). |
WEST LAFAYETTE, Ind. - A Purdue University-led analysis of breast milk concludes that levels of health-promoting compounds known as carotenoids differ by country, with the U.S. lagging behind China and Mexico, a reflection of regional dietary habits.
Carotenoids are plant pigments that potentially play functional roles in human development and are key sources of vitamin A, an essential component of eye health and the immune system.
The carotenoid content of a woman's breast milk is determined by her consumption of fruits and vegetables such as squash, citrus, sweet potatoes and dark, leafy greens.
"Evidence is increasing that carotenoids are important for both mothers and infants," said Mario Ferruzzi, professor of food science and nutrition. "Nursing women should eat fruits and vegetables as recommended in dietary guidelines. As long as your baby is happy with it, don't exclude bright orange or yellow produce and leafy vegetables from your diet."
The study found that the mean amount of total carotenoids in American women's breast milk two weeks after giving birth was about 40 percent lower than levels in Chinese women's milk and about 25 percent lower than levels in Mexican women's milk.
The gap between carotenoid levels in the breast milk of American women compared with those in other countries could be indicative of the lower amount of fruits and vegetables eaten in the U.S. compared with China or Mexico, Ferruzzi said.
![]() |
|
Purdue food and nutrition scientist Mario Ferruzzi says that nursing women can boost the carotenoid levels of their breast milk by eating orange or yellow produce and dark, leafy greens. (Purdue Agricultural Communication photo/Tom Campbell). |
"Fruit and vegetable consumption appears to be pretty low across the nation," he said. "In general, we are just not consuming the recommended amounts."
But culture is not alone in influencing eating habits. Socioeconomic factors also play a role, he said: "If you really want to look at who eats fruits and vegetables, it's the people who have access to them and can afford them."
Breast milk is the preferred food source for babies up to 6 months old because it is a complete source of nutrients as well as antibodies, growth factors and bioactive components such as carotenoids.
Understanding breast milk's composition and how it delivers nutrients and other compounds to infants could help guide dietary recommendations for nursing mothers and improve formula and breast milk fortifiers, Ferruzzi said.
"Studying the composition of human milk is one of the best guides we have for determining optimal nutrition intake for infants," he said. "This can also help us design formula that functions like human milk and doesn't just 'look' like human milk in terms of content."
Ferruzzi, then-graduate student Tristan Lipkie and researchers from Mead Johnson Pediatric Nutrition Institute and the Cincinnati Children's Hospital analyzed the carotenoid and fatty acid composition of breast milk donated by three groups of 20 women - one group in Shanghai, one in Mexico City and one in Cincinnati - at two, four, 13 and 26 weeks after giving birth.
Breast milk from China had the highest levels of lutein - a carotenoid that is key to eye health - at each lactation stage and the highest amount of fatty acids at each stage except 13 weeks.
Possible links between lutein and infants' visual development and brain health is an area of growing research interest, Ferruzzi said.
Levels of beta-carotene - a carotenoid that can be converted into vitamin A by the body - varied greatly by country and lactation stage but were about 25 percent higher in milk from China and Mexico than the U.S. at two weeks.
Breast milk from the U.S. consistently contained the highest levels of lycopene, a carotenoid commonly found in tomatoes that may play a role in immunity and protection against inflammatory diseases. Milk from China had the lowest lycopene levels at each lactation stage.
The researchers also analyzed carotenoid levels in the plasma of women and infants in the group from the U.S. They found that concentrations of carotenoids in milk were strongly correlated to levels in maternal and infant plasma, except for lycopene.
While the participants in the study were from specific cities, Ferruzzi said the findings are similar to those reported in previous studies of breast milk from other parts of these countries.
The research is part of the Global Exploration of Human Milk Study.
The paper was published in PLOS ONE Wednesday (June 10) and is available at http://dx.plos.org/10.1371/journal.pone.0127729
Mead Johnson Pediatric Nutrition Institute and the U.S. Department of Agriculture's National Needs Fellowship provided funding for the research.
Writer: Natalie van Hoose, 765-496-2050, nvanhoos@purdue.edu
Source: Mario Ferruzzi, 765-494-0625, mferruzz@purdue.edu
ABSTRACT
Longitudinal survey of carotenoids in human milk from urban cohorts in China, Mexico, and the USA
Tristan E. Lipkie 1; Ardythe L. Morrow 2; Zeina E. Jouni 3; Robert J. McMahon 3; Mario G. Ferruzzi 1, 4
1 Department of Food Science, Purdue University, West Lafayette, Indiana, United States of America
2 Department of Pediatrics, Cincinnati Children’s Hospital, Cincinnati, Ohio, United States of America
3 Global Discovery and Analytical Science, Mead Johnson Nutrition Institute, Evansville, Indiana, United States of America
4 Department of Nutritional Science, Purdue University, West Lafayette, Indiana, United States of America
E-mail: mferruzz@purdue.edu
Emerging evidence indicates that carotenoids may have particular roles in infant nutrition and development, yet data on the profile and bioavailability of carotenoids from human milk remain sparse. Milk was longitudinally collected at 2, 4, 13, and 26 weeks postpartum from 20 mothers each in China, Mexico, and the USA in the Global Exploration of Human Milk Study (n=60 donors, n=240 samples). Maternal and neonatal plasma were analyzed for carotenoids from the USA cohort at 4 weeks postpartum. Carotenoids were analyzed by HPLC and total lipids by Creamatocrit. Across all countries and lactation stages, the top four carotenoids were lutein (median 114.4 nmol/L), β-cryptoxanthin (33.8 nmol/L), and lycopene (33.7 nmol/L). Non-provitamin A carotenoids (nmol/L) and total lipids (g/L) decreased (p<0.05) with increasing lactation stage, except the provitamin A carotenoids α- and β-cryptoxanthin and β-carotene did not significantly change (p>0.05) with lactation stage. Total carotenoid content and lutein content were greatest from China, yet lycopene was lowest from China (p<0.0001). Lutein, β-cryptoxanthin, and β-carotene, and lycopene concentrations in milk were significantly correlated to maternal plasma and neonatal plasma concentrations (p<0.05), with the exception that lycopene was not significantly associated between human milk and neonatal plasma (p>0.3). This enhanced understanding of neonatal exposure to carotenoids during development may help guide dietary recommendations and design of human milk mimetics.
Ag Communications: (765) 494-2722;
Keith Robinson, robins89@purdue.edu
Agriculture News Page


