Hints and Discussion Thread

Please note that the same block is used for both Parts (a) and (b).
- For Part (a), the loading is created by the weight of the rigid plate (no temperature change), and there is no constraint on strains in the block in the z-direction.
- For Part (b), the loading is created by the temperature increase in the block, and there is a constraint on strains in the block in the z-direction.
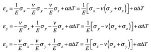
For each part, use the 3D Hooke’s Law equations relating normal stresses and normal strains that we developed in class:

Any questions? Ask (and answer) questions here.