Michaelis-Menten Kinetics

One Compartment

IV Bolus

Diagrams

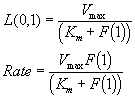
Equations

Plot

Working Model

 

Diagrams

 

Equations

Plot

 

 

Working Model

 WinSAAM